IPM Question Paper 2025 | IPM Indore Quants

Direction (1 – 3): Five teamsβ€”A, B, C, D, and Eβ€”each consisting of 15 members, are going on expeditions to five different locations. Each team includes members from three different skill sets: biologists, geologists, and explorers. However, the number of members from each skill set varies by team and each member has only one speciality. The total number of biologists, geologists, and explorers are equal.

The following additional information is available:

β€’ Every team has at least 2 members from each of the three skill sets.
β€’ Teams C and D have 6 biologists each, and Team A has 6 geologists.
β€’ Every team except A has more biologists than explorers.
β€’ The number of explorers in each team is distinct and decreases in the order A, B, C, D, and E.

1. The median number of biologists across five teams is ________

2. The number of teams having more geologists than biologists is _________

3. The number of biologists in team E is ________

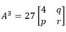
4. If such that , then p + q + r equals ___________

5. If the sum of the first 21 terms of the sequence in then the value of m+n is ________

6. Monica, who is 18 years old, is one-third the age of her father. The age at which she will be half the age of her father is __________

7. If and are the first three terms of an arithmetic progression, then the sum of the next three terms of the progression is _____________

8. English exam and Math exam were conducted separately for a class of 120 students. The number of students who did not appear for the English exam is twice the number of students who did not appear for the Math exam. The number of students who passed the Math exam is twice the number of students who appeared but failed the English exam. If the number of students who passed the English exam is twice the number of students who appeared but failed the Math exam, then the number of students who appeared but failed the English exam is _________

9. A circle of radius 13 cm touches the adjacent sides AB and BC of a square ABCD at M and N, respectively. If AB = 18 cm and the circle intersects the other two sides CD and DA at P and Q, respectively, then the area, in sq. cm, of triangle PMD is __________

10. If a,b,c are three distinct natural numbers, all less than 100, such that |a-b|+|b-c|=|c-a|, then the maximum possible value of b is ____________

11. Eight teams take part in a tournament where each team plays against every other team exactly once. In a particular year, one team got suspended after playing 3 matches, due to a disciplinary issue. The organizers decide to proceed, nonetheless, with the remaining matches. The total number of matches that were played in the tournament that year is _____

12. Arpita and Nikita, working together, can complete an assigned job in 12 days. If Arpita works initially to complete 40% of the job, and the remaining job is completed by Nikita alone, then it takes 24 days to complete the job. The possible number of days that Nikita requires to complete the entire job, working alone, is

1. In company F, the lowest possible sum of the ages of all employees is_______

Solution :

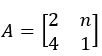
8. If is a matrix such that the sum of all three elements along any now, column or diagonal are equal to each other, then the value of determinant of A is

Solution :

14. Let 𝑓 π‘Žπ‘›π‘‘ 𝑔 be two function defined by and for some real a. then the maximum possible vale of 𝑓(𝑔(π‘Ž)) is _________

Solution :
Scroll to Top